Some topics developed at SiMMaS
Skyrmions
Transport of skyrmions on racetracks.
Magnetic skyrmions can be considered as magnetic bits due to their nanometric size and topologically protected stability. We have studied the dynamics of such skyrmions in racetrack geometries and, in general, in confined geometries. Analytical expressions for the trajectories of skyrmions in confined geometries (including long tracks and square samples) when driven by polarised electric currents. The force exerted by the borders is derived as a function of the material parameters (anisotropy, Dzyaloshinskii-Moriya, and exchange constants) and incorporated in the equation of motion of the skyrmions.


Skyrmions, as bits of information, can be transported along nanoracetracks. However, temperature, defects, and/or granularity can produce diffusion, pinning, etc. These effects may cause undesired errors in information transport may compromise the feasibility of the device. We have performed simulations of a realistic system where both the (room) temperature and sample granularity are taken into account. Key feasibility magnitudes, such as the success probability of a skyrmion traveling a given distance along the racetrack, are calculated. The model proposed is based on the Fokker–Planck equation resulting from Thiele’s rigid model for skyrmions.

Defects are unavoidable in real materials. Defects, either intrinsic or artificially incorporated, can alter the material properties. In the particular case of skyrmionic ferromagnetic materials, defects modify the stability and dynamics of the skyrmions. These magnetic structures have aroused great interest due to their potential as information carriers. Hence, the knowledge and control of the influence of defects on skyrmions are essential for their use in applications, such as magnetic memories or information mobility. We have studied how these defects affect the mobility of skyrmions and have also studied different ways to model them.



More information:
- Analytical trajectories of skyrmions in confined geometries: Skyrmionic racetracks and nano-oscillators
- Accelerating, guiding, and compressing skyrmions by defect rails†
- Deterministic approach to skyrmionic dynamics at nonzero temperatures: Pinning sites and racetracks
- Defect modeling in skyrmionic ferromagnetic systems
- Survival of skyrmions along granular racetracks at room temperature
Generation of skyrmions by template imprinting
Magnetic skyrmions are promising candidates as information carriers in new generation magnetic memories. The physical conditions for nucleating and stabilizing skyrmions depend largely on many parameters such as temperature or the type of materials. We have demonstrate how skyrmions can be imprinted in ultrathin ferromagnetic films, either individually and also in large numbers by bringing a magnetic nanostructured template close to the film.

More Information
Hybrid Systems FM-SC
Magnetic multistates
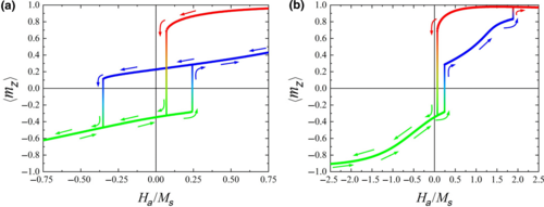
We have developed simulations for accounting for the interaction of a FM disk and a superconducting disk. The interaction is accounted for by solving simultaneously the Brown and London equations. We have discussed the effect of the different parameters on the results and some possible applications such as multivalued logic, storage, and skyrmionic metamaterials.


component of the normalised magnetisation during the hysteresis loop. The plot demonstrates de possibility (and the protocol needed) to change from one state to the other two.
More information
Random Phenomena in Magnetic Materials
Random phenomena are ubiquitous in magnetism. They include, for example: the random orientation of magnetization in an assembly of non-interacting isotropic magnets; arbitrary maze domain patterns in magnetic multilayers with out-of-plane anisotropy, random polarization, and chirality of an array of magnetic vortices; or Brownian skyrmion motion, among others. Usually, for memory applications, randomness needs to be avoided to reduce noise and enhance stability and endurance. However, these uncontrolled magnetic effects, especially when incorporated in magnetic random-access memories, offer a wide range of new opportunities in, e.g., stochastic computing, the generation of true random numbers, or physical unclonable functions for data security. Partial control of randomness leads to tunable probabilistic bits, which are of interest for neuromorphic computing and for new logic paradigms, as a first step toward quantum computing.

More information
Short questions/answers about this topics
What is a skyrmion?
A magnetic skyrmion is a topologically stable, swirling spin texture in a magnetic material. It consists of a localized region where the magnetization vector rotates continuously, forming a vortex-like structure. Skyrmions exhibit unique properties and have potential applications in magnetic storage, spintronics, and information processing.
Which is the Landau-Lifshitz-Gilbert equation?
The Landau-Lifshitz-Gilbert (LLG) equation is a fundamental equation in magnetism that describes the dynamics of a magnetization distribution in a magnetic material. It is given by:
dM/dt = –γ M x Heff + α M x (dM/dt)
M represents the magnetization distribution, t is time, γ is the gyromagnetic ratio, Heff is the effective magnetic field, α is the damping parameter, and dM/dt is the time derivative of the magnetization vector.
The first term on the right-hand side represents the precession of the magnetization around the effective magnetic field, while the second term accounts for the damping effect, which tends to align the magnetization with the effective field.

Page under construction